特性
- Standard, A, and C speeds
- Typical tSK(o) (output skew) < 250ps
- Low input and output leakage <1µA (max.)
- ESD > 2000V per MIL-STD-883, Method 3015; > 200V using machine model (C = 200pF, R = 0)
- Balanced output drivers:
- ±16mA (military)
- Reduced system switching noise
- Typical VOLP (Output Ground Bounce) < 0.6V at VCC = 5V,
- TA = 25 °C
- Available in a 48-pin CERPACK package
描述
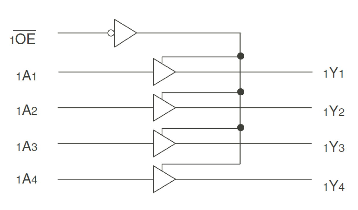
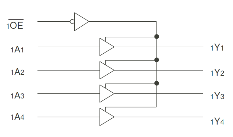
The 54FCT162244T 16-bit high-speed and low-power buffer/line driver is for bus interface or signal buffering applications and has three-state controls allowing independent 4-bit, 8-bit, or combined 16-bit operation. The 54FCT162244T operates at -55 °C to +125 °C. For the commercial version, see 74FCT162244T.
产品参数
| 属性 | 值 |
|---|---|
| Function | Buffer/Driver |
| Pkg. Code | CS48 |
| Temp. Range (°C) | -55 to 125°C |
| Bus Width (bits) | 16 |
| Core Voltage (V) | 5 |
| Speed Grade | A |
封装选项
| Pkg. Type | Pkg. Dimensions (mm) | Lead Count (#) | Pitch (mm) |
|---|---|---|---|
| CPACK | 16.3 x 9.65 x 2.4 | 48 | 1.27 |
当前筛选条件
加载中